您的當前位置:首頁 > 產品知識 > 更多產品知識 > 鋼球落下時的動能
作者:紅星機器 發布時間:2017-09-22 13:45:51
鋼球對磨礦過程有一定的影響,鋼球落下沖擊礦石的能量,來自它落到終點時的動能。此動能的大小,決定于鋼球的落下高度。而磨機的轉速又決定著鋼球的落下高度,所以決定磨機轉速的方法直接和分析鋼球落下時的動能有關。由圖3-2-11可知,鋼球落下高度H的值為

![]()
因為球是自由落體,所以到達落回點B的垂直速度為
![]()
由公式(2-1)可知
![]()
球下落時的水平分速度為
![]()
因此,它們的合速度為
![]()
即:![]()
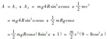
設球的質量為m,它在落回點B 的動能為
![]()
不難證明,此動能即磨機將球由落回點B提升到脫離點A所作的功(A1),和自脫離點用速度v將球拋出所作的功(A2)。因為

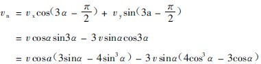
當鋼球以速度vp到達落回點時,它的動能分解為兩部分:一部分沿打擊線OB(通過物體的打擊接觸點,并垂直于接觸面的直線)沖擊礦石;另一部分與打擊線垂直,使鋼球沿切線方向運動,這部分使礦石受磨剝而沒有沖擊作用。如果把vp分解為沿打擊線的徑向分速度vn和沿切向分速度v1,求出這兩個分速度,就可以知道沖擊礦石的能量和磨剝礦石的能量各占若干。
將速度vp的水平分速度vx,和垂直分速vy投到徑向分速度vn的方向上,則

將此式展開及化簡后,整理成
![]()
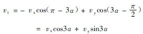
將vx和vy投到切線分速度v1的方向上,則

照上式的方法,將vx和vy代入,經化簡和整理后,得到
![]()
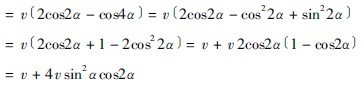
切向分速度v1和法向分速度vn,在不同的落回點的方向和大小都是不同的,如圖3-2-12所表示的。從圖中可以看出,磨機轉速越大,同一層球上升越高,脫離角越小。當脫離角為
時,該層球的轉速率為75%,v1=0,而vn=vp,切線分速度正在改變方向,已知各落回點的vn,就可算出沖擊礦石的動能


上一篇:決定磨機轉速的方法
如果您想了解我們的產品,可以隨時撥打我公司的銷售熱線或點擊咨詢!![]()
推薦閱讀
TOP169鄂破機價格及型號參數鄂破機
TOP257鄂破機一小時能產多少噸物料鄂破機
TOP3時產1000噸石料生產線設備有哪些?多少錢?石料生產線價格
TOP4140圓錐破時產多少石子圓錐破 圓錐破碎機
TOP5小型碎沙機多少錢一臺?碎石機
TOP6一套碎石機大概需要多少錢碎石機
TOP7生產雷蒙磨粉機(雷蒙磨)的廠家磨粉機
TOP8每小時產200噸的石子破碎機多少錢一臺?破碎機
TOP969破碎機一小時處理多少立方石子?破碎機 69顎式破碎機
TOP101060顎破型號有哪些?什么價?顎破 顎式破碎機
TOP11時產500噸石子生產線配置方案_廠家報價生產線
TOP12銷量較好的雷蒙磨粉機型號有哪些雷蒙磨粉機
換一換 ![]()
想讓資深工程師為您設計生產方案?想獲取全套設備優惠報價單?請留言,專業經理即刻開始為您一對一服務?。ú挥脫男畔⑿孤?,我們將為客戶提供信息保密服務!)
來廠考察即可獲取資深工程師為您設計方案
多機型現貨可選,簽訂合同,2天內發出
售后團隊親臨現場,指導設備安裝、試車,完成交付
跟蹤砂場運營情況,提供生產運營指導,保障砂場快速盈利
河南紅星礦山機器有限公司 總部地址:中國鄭州高新技術產業開發區檀香路8號
工程師免費設計方案已有162位獲得心儀的方案
算一算 搭配一條合適的生產線需要多少錢?
點擊獲取報價